1. Зоря Вега
розташована на відстані 26,4 св. року від
Землі. Скільки років летіла б до неї
ракета з постійною швидкістю 30 км/с?
Швидкість ракети в 10 0 0 0 разів
менша, ніж швидкість світла, тому
космонавти будуть летіти до Беги у 10000
разів довше.
Розв'язання:
----------------------------------------------------------------------------------------------------------------------------------
2. Опівдні ваша тінь у два рази
менша, ніж ваш зріст. Визначте висоту
Сонця над горизонтом.
Розв'язання:
Висота
Сонця h вимірюється
кутом між площиною горизонту та напрямком
на світило. З прямокутного трикутника,
де катетами є L (довжина
тіні) та Н (ваш зріст), знаходимо
---------------------------------------------------------------------------------------------------------------------------------
3. На скільки
відрізняється місцевий час у Сімферополі
від київського часу?
Розв'язання:
Взимку
Тобто взимку місцевий час у
Сімферополі випереджає київський час.
Весною стрілки всіх годинників у Європі
переводять на 1 год вперед, тому київський
час випереджає на 44 хв місцевий час у
Сімферополі.
---------------------------------------------------------------------------------------------------------------------------------
---------------------------------------------------------------------------------------------------------------------------------
4. Астероїд Амур рухається
по еліпсу з ексцентриситетом 0,43. Чи може
цей астероїд зіткнутися із Землею, якщо
його період обертання навколо Сонця
дорівнює 2,66 року?
Розв'язання:
Астероїд може
зустрітися із Землею, якщо він перетнеться
з орбітою Землі, тобто якщо відстань
у перигелії rmin= <
1 а. o.
За допомогою третього закону
Кеплера визначаємо велику піввісь
орбіти астероїда:
де a2— 1
а. o.— велика піввісь орбіти Землі;T2
= 1 рік— період
обертання Землі :
2.
Рис. П. 1.
Відповідь.
Астероїд Амур не перетне
орбіту Землі, тому не може зіткнутися
із Землею.
------------------------------------------------------------------------------------------------------------------------------
------------------------------------------------------------------------------------------------------------------------------
5. На якій висоті
над поверхнею Землі має обертатися
геостаціонарний супутник, який висить
над однією точкою Землі?
1.
За допомогою третього закону Кеплера визначаємо
велику піввісь орбіти супутника:
де а2 = 3 80000 км — велика піввісь
орбіти Місяця; 7і, = 1 доба — період
обертання супутника навколо Землі; Т”2
= 27,3 доби — період обертання Місяця
навколо Землі.
а1 = 41900
км.
Відповідь. Геостаціонарні
супутники обертаються із заходу на схід
у площині екватора на висоті 35500 км.
------------------------------------------------------------------------------------------------------------------------------
------------------------------------------------------------------------------------------------------------------------------
6. Чи можуть космонавти з
поверхні Місяця неозброєним оком
побачити Чорне море?
Розв'язання:
Визначаємо кут, під яким із
Місяця видно Чорне море. З прямокутного
трикутника, у якому катетами є відстань
до Місяця і діаметр Чорного моря,
визначаємо кут:
Відповідь.
Якщо в Україні день, то з
Місяця Чорне море можна побачити, бо
його кутовий діаметр більший від
роздільної здатності ока.
---------------------------------------------------------------------------------------------------------------------------------
---------------------------------------------------------------------------------------------------------------------------------
8. На поверхні якої планети
земної групи вага космонавтів буде
найменшою ?
Розв'язання:
P = mg; g=GM/R2,
де G —
гравітаційна стала; М — маса
планети, R — радіус
планети. Найменша вага буде на поверхні
тієї планети, де менше прискорення
вільного падіння. З
формули g=GM/R визначаємо,
що на Меркурії # = 3,78 м/с2 , на Венері # =
8,6 м/с2 , на Марсі # = 3,72 м/с2 , на Землі # =
9,78 м/с2 .
Відповідь.
Вага буде
найменшою на Марсі — у 2,6 разу меншою,
ніж на Землі.
----------------------------------------------------------------------------------------------------------------------------------
----------------------------------------------------------------------------------------------------------------------------------
9. Коли, взимку чи влітку,
у вікно вашої квартири опівдні потрапляє
більше сонячної енергії? Розгляньте
випадки: А. Вікно виходить на південь;
Б. Вікно виходить на схід.
Розв'язання:
А. Кількість сонячної енергії,
яку отримує одиниця поверхні за одиницю
часу, можна обчислити за допомогою такої
формули:
E=qcosi
де q —
сонячна стала; і — кут падіння
сонячних променів.
Стіна розташована перпендикулярно
до горизонту, тому взимку кут падіння
сонячних променів буде меншим. Отже, як
це не дивно, взимку у вікно вашої квартири
від Сонця надходить більше енергії, ніж
улітку.
Б. Якщо вікно виходить на
схід, то сонячні промені опівдні ніколи
не освітлюють вашу кімнату.
------------------------------------------------------------------------------------------------------------------------------
------------------------------------------------------------------------------------------------------------------------------
10. Визначте радіус зорі Вега,
яка випромінює у 55 разів більше енергії,
ніж Сонце. Температура поверхні становить
1 1000 К. Який вигляд мала б ця зоря на
нашому небі, якби вона світила на місці
Сонця?
Розв'язання:
Радіус зорі визначають за
допомогою формули (13.11):
де Др, = 6 9 5 202 км — радіус
Сонця;
— температура
поверхні Сонця.
Відповідь.
Зоря Вега має радіус у 2 рази
більший, ніж у Сонця, тому на нашому небі
вона мала б вигляд синього диска з
кутовим діаметром 1°. Якби Вега світила
замість Сонця, то Земля отримувала б у
55 разів більше енергії, ніж тепер, і
температура на її поверхні була б вищою
за 1000°С. Таким чином, умови на нашій
планеті стали б непридатними для будь
- яких форм життя.
11. З
усієї речовини Землі виготовлено дроти
завдовжки: а) до Сонця; б) до найближчої
до Сонця зорі а Центавра; в) до Туманності
Андромеди. Знайдіть діаметри цих дротів.
Розв'язання:
Згадаємо,
що об'єм кулі (Землі) дорівнює
а
об'єм циліндра (дроту) — ,
де L —
довжина
циліндра, а d —
його діаметр.
Рівняючи ці об'єми, одержимо, що діаметр
дроту становить
Підставляючи
в одержану формулу значення відстаней
від Землі до Сонця (1,5∙108 км),
до зорі α Центавра
(1,3 пк=1,3∙3,1∙1013 км)
і до Туманності Андромеди (7х105°пк),
знайдемо, що діаметри дротів дорівнюють
100 км, 200 м і 25 см відповідно. Задача
справді нескладна, але результат дивний:
дроти виявилися несподівано товстими.
Справа тут у різній залежності об'єму
від діаметра — у кубічній для кулі та
квадратичній для циліндра, а підкореневий
вираз у формулі для діаметра дроту
залежить від куба радіуса Землі та
першого степеня довжини дроту.
Ця
задача наочно демонструє вплив показника
степеня на залежність результату від
певного параметра й водночас дозволяє
порівняти значення трьох характерних
відстаней у Всесвіті. її автор — відомий
астрофізик-теоретик академік В. В.
Соболєв.
-------------------------------------------------------------------------------------------------------------
12. Мандрівник
випадково опинився в одній із полярних
зон Землі. Погода вночі стоїть ясна,
але він не знає зоряного неба. Як йому
дізнатися про те, у якій півкулі Землі
він знаходиться?
Розв'язання:
Справжній
мандрівник мусить уміти використовувати
небесні явища для орієнтування в
просторі та часі. Але припустімо, що
наш мандрівник не практик, а теоретик.
Тому він не знає зоряного неба, однак
знає, який полюс планети є північним,
а який південним. Визначити це можна в
такий спосіб: з Північного полюса світу
добове обертання планети виглядає як
таке, що відбувається проти ходу
годинникової стрілки. Тому обертання
небесної сфери для спостерігача, який
знаходиться у Північній півкулі планети,
відбувається за годинниковою стрілкою,
тобто зі сходу на захід. А в Південній
півкулі це обертання, навпаки, виглядає
як таке, що відбувається із заходу на
схід. При цьому різниця в обертанні
небесної сфери найбільш виразно
виявляється саме в полярних зонах.
Тому, спостерігаючи деякий час за
переміщенням зір у їхньому добовому
русі, мандрівник може визначити, на яку
півкулю Землі він потрапив.
Звичайно,
для Землі така ситуація з її полюсами
склалася історично. Це правило визначення
назв полюсів застосовується й щодо
інших планет, точніше до тих, у яких
осьове обертання відбувається в тому
ж напрямку, що й рух за орбітою (таке
обертання має назву прямого). Винятками
з цього правила є Венера та Уран, які
мають обернене осьове обертання. Для
Венери це є наслідком припливного
гальмування її обертання Сонцем і
Землею. Що ж до Урана, то вісь його
обертання, на відміну від решти планет,
є близькою за напрямком до площини його
орбіти. Це, мабуть, наслідок якоїсь
катастрофічної події.
--------------------------------------------------------------------------------------------------------
13. 22
вересня о 15 годині за місцевим часом
тінь від середньої вертикальної рами
вікна падає перпендикулярно до площини
вікна. З'ясуйте, як зорієнтоване це
вікно відносно сторін світу.
Розв'язання:
3. Насамперед
з'ясуємо, про який саме місцевий час
ідеться в умові задачі. Якщо, указуючи
час події, не уточнюють, про який саме
час ідеться, то мають на увазі місцевий
середній сонячний час. Однак зрозуміло,
що напрямок тіні визначається істинним
сонячним часом, тобто положенням
реального, а не середнього Сонця. Але
найбільша різниця між істинним і
середнім сонячним часом не перевищує
20 хв. Із цього випливає, що, нехтуючи
різницю між цими двома способами
вимірювання часу, ми зробимо похибку,
яка не перевищує 5°. Тобто, висловлюючись
мовою моряків, ми будемо шукати
розв'язання нашої задачі з точністю до
половини румба (румб — це кут, який
дорівнює 1/32 повного кута, або приблизно
11°).
Дата,
наведена в умові задачі, близька до
моменту осіннього рівнодення, тобто
схилення Сонця близьке до 0°. Інакше
кажучи, вважатимемо, що Сонце знаходиться
на небесному екваторі. Аналіз місцевого
часу дозволяє визначити годинний кут
Сонця. Оскільки початок сонячної доби
збігається з нижньою кульмінацією
Сонця, то о 15 годині його годинний
кут і дорівнює 3h,
або 45° . А для того щоб визначити
орієнтацію вікна, нам треба встановити
азимут Сонця А в даний момент.
Годинний кут відлічується вздовж
небесного екватора, азимут — уздовж
математичного горизонту. У свою чергу,
те, як розташовані відносно один одного
небесний екватор і математичний
горизонт, залежить від широти місця,
де ми знаходимося. Із відповідних
визначень випливає, що кут між площинами
цих великих кіл на небесній сфері
доповнює широту місця спостереження
до 90° . Тому на екваторі Землі небесний
екватор розташований вертикально, але
він завжди проходить через точки сходу
та заходу. Отже, тінь від рами буде
спрямована на схід, а вікно буде
зорієнтоване на захід. Якщо ж ми
наближатимемося до полюса, то кут між
небесним екватором і горизонтом
зменшуватиметься, наближаючись до
нуля. Відповідно годинний кут та азимут
зближуватимуться, тобто значення
азимута буде наближатися до 45° .
Орієнтація вікна наближатиметься до
напрямку на південний захід. Зрозуміло,
що на проміжних (помірних) широтах
орієнтація вікна перебуватиме десь
поміж заходом і південним заходом.
Вище
було подано розв'язання задачі на
якісному рівні, для якого достатньо
було лише визначень відповідних основних
ліній на небесній сфері та координат
в горизонтальній та першій екваторіальній
системах координат. Для кількісного ж
розв'язання задачі потрібні вже дві
основні формули сферичної тригонометрії
— формули косинусів і синусів. Слід
розглянути так званий паралактичний
трикутник ZPS: «зеніт»
— «полюс світу» — «світило» (у даному
разі Сонце). Його сторони: ZР —
доповнення
широти місця спостереження до 90° , РS —
доповнення
схилення до 90° і ZS — зенітна
відстань, кут при вершині Z доповнює
азимут до 180° , а кут при вершиніР —
це годинний кут. Тому формула косинусів
(яка, до речі, може бути одержана як
скалярний добуток відповідних одиничних
векторів) з урахуванням того, що схилення
дорівнює 0, дає:
де
(φ —
географічна
широта. А формула синусів (що природно
узагальнює формулу синусів плоскої
тригонометрії) дасть значення синуса
азимута:
Виконавши
обчислення, наприклад для широти 50°,
одержимо значення азимута Сонця А =
52,5° . Відразу ж зауважимо, що чверть, у
якій лежить значення азимута, ми вже
фактично визначили на попередньому
етапі розв'язання задачі. У загальному
ж випадку треба за відповідною формулою
обчислити ще й косинус азимута, а потім,
аналізуючи знаки синуса та косинуса
азимута, визначити, у якій чверті
знаходиться його значення.
Нарешті,
відзначимо ще таке. По-перше, широта
50° -це широта Харкова. Але більшість
обласних центрів України розташовані
в широтній зоні 50° ±2° . Тому, ураховуючи
сказане про точність нашого розв'язання,
відповідь стосується й цих міст. Для
одержання точнішої відповіді треба
врахувати точніше значення їхньої
широти та значення рівняння часу в день
22 вересня. По-друге, хоча розглядалася
широта, близька до середньої між широтами
екватора та полюса, значення азимута
тіні ще мало відрізняється від 45°.
--------------------------------------------------------------------------------------------------------
14. Приблизно
за добу після хромосферного спалаху
на Сонці виникає збурення магнітного
поля Землі. Зробіть оцінку енергії
протонів сонячного вітру, що викликають
це збурення. Відповідь дати в
електрон-вольтах.
Розв'язання:
Протони,
викинуті під час хромосферного спалаху
із Сонця, летять до Землі з постійною
швидкістю. Щоб знайти цю швидкість,
треба просто поділити відстань від
Сонця до Землі на час, за який частинки
досягають Землі і який дорівнює одній
добі, тому
Тепер
нескладно знайти кінетичну енергію
протонів, згадавши, що їхня маса дорівнює
1,7∙10-30 кг. Ця енергія дорівнює
2,5 10-15 Дж. Для того щоб знайти
значення цієї енергії в електрон-вольтах,
треба поділити її на заряд електрона
в кулонах (1,6 10-19 Кл) , тому що
електрон-вольт — це енергія, якої
набуває електрон, пройшовши шлях в
електричному полі з різницею потенціалів
в 1 В. Одержимо остаточно, що середня
енергія протонів сонячного вітру
дорівнює приблизно 15 кеВ. Нагадаємо,
що електрон-вольт — одиниця енергії,
зручна для застосування в атомній
фізиці та фізиці елементарних частинок,
а в астрофізиці відповідні процеси
відіграють важливу роль.
Звернемо
увагу на те, що в розрахунках ми отримували
не більш ніж дві значущі цифри. Це
пов'язано з тим, що насправді різні
протони одержують під час спалаху
неоднакову енергію, надто під час різних
спалахів. Тому йдеться лише про певне
середнє, характерне значення енергії
протонів і відповідно про середній час
досягнення ними Землі. Це підкреслено
в умові задачі виразом «приблизно за
добу».
--------------------------------------------------------------------------------------------------------
15. Нижче
наведено уривки з творів відомих
письменників з описами Місяця.
Надо
мной в лазури ясной
Светит
звездочка одна —
Справа
запад темно-красный,
Слева
близкая Луна.
(О.С.Пушкін)
Посреди
небесных тел
Лик
Луны туманный,
Как
он кругл и как он бел,
Точно
блин в сметане.
(М.
Ю. Лєрмонтов)
Золото
холодное Луны,
Запах
олеандра и левкоя.
Хорошо
бродить среди покоя
Голубой
и ласковой страны.
(С.
О. Єсенін)
Неожиданно
из-за отдаленного кустарника выползает
большая, широколицая Луна. Она красна
(вообще Луна, вылезая из-за кустов,
всегда почему-то бывает ужасно
сконфужена).
(А.
П. Чехов)
Дайте
астрономічний коментар до наведених
уривків. Чи праві були класики, описуючи
Місяць? Якщо праві, то за яких умов, коли
та чому Місяць може мати саме такий
вигляд?
Розв'язання:
Найбільш
інформативним з астрономічного погляду
є уривок із незакінченого вірша Пушкіна.
Захід у поета розташований праворуч,
значить, стояв ліричний герой обличчям
на південь. Захід темно-червоний, тобто
час доби — вечір, Сонце щойно зайшло.
Місяць — ліворуч, навпроти Сонця.
Значить, фаза Місяця близька до повні.
Нарешті, Місяць — «близький». Це наслідок
того, що світило знаходиться низько
над горизонтом, коли воно здається
більшим (а тому і ближчим), ніж завжди.
Удаваний розмір Місяця в цьому випадку
зумовлений тим, що він спостерігається
на тлі віддалених земних об'єктів
поблизу горизонту.
Крім
того, Пушкін пише: «Надо мной в лазури
ясной светит звездочка одна». Що це за
світило? «Наді мною» — значить, воно
знаходиться високо над горизонтом. «У
лазурі ясній» — значить, на ще світлому
небі, тобто це досить яскраве світило.
Але це не можуть бути найяскравіші
світила нашого неба Венера або Сиріус.
Венера — внутрішня планета, вона не
може розташовуватися далеко від Сонця,
а Сиріус має від'ємне схилення й у наших
широтах не піднімається високо.
Найімовірніше, це одна з найяскравіших
зір літнього неба а Ліри — Вега.
У
наступних трьох уривках ідеться про
колір Місяця. У Лєрмонтова він білий,
у Єсеніна — золотий (жовтий), у Чехова
— червоний. І кожний з них має рацію.
Справа тут у різному впливі земної
атмосфери на забарвлення світила, що
спостерігається, залежно від його
висоти. У разі розсіяння світла на
частинках повітря (точніше кажучи, на
теплових флуктуаціях густини повітря)
кількість розсіяного світла обернено
пропорційна четвертому степеню довжини
світлової хвилі. Під час розсіяння
світла пиловими частинками ця залежність
не така сильна, але все ж таки ефективніше
розсіюється більш короткохвильове
світло. Якщо світило стоїть високо над
горизонтом, то світло проходить крізь
відносно невелику товщу атмосфери й
колір світила практично не змінюється.
Якщо ж висота світила невелика, то товща
атмосфери, крізь яку проходить світло,
значно збільшується (приблизно як
косеканс висоти) і розсіянням видаляється
значна частина світла, насамперед із
коротшою довжиною хвилі, тобто спочатку
слабнуть сині промені, потім жовті й
так далі. Мабуть, Лєрмонтов описав своє
враження від зимового Місяця, який
стояв високо в небі, бо саме взимку
Місяць у повні спостерігається високо
над горизонтом, оскільки Сонце взимку
опускається глибоко під горизонт.
Єсенін бачив Місяць, розташований
порівняно низько, а герої чехівського
оповідання «Аптекарка» побачили
Місяць біля самого горизонту (бо кущі
були віддалені).
Слід
віддати належне М. Лєрмонтову. Він
звернув увагу на ще одну особливість
Місяця, написавши, що Місяць у небі
«точно блин». Цим порівнянням поет
підкреслив, що Місяць має вигляд не
об'ємного тіла, а плоского диска.
Відбувається це не тільки тому, що зір
людини не сприймає форм об'єму на великій
відстані. Особливістю Місяця є те, що
в повні яскравість деталей на його
поверхні не залежить від їхнього
положення на місячному диску: вона
однакова й у центрі, і на краю Місяця.
Звернув увагу на це ще Г. Галілей —
перша людина, яка поглянула на Місяць
і взагалі на небо в телескоп. Він
правильно пов'язав це явище з великою
шорсткістю місячної поверхні. Довів
же цей факт шляхом відповідних вимірювань
український астроном М. П. Барабашов.
Якби поверхня Місяця була світлою та
матовою, то яскравість її була б
пропорційною косинусу падіння сонячних
променів і краї місячного диска були
б темнішими від його центральної
частини, що створювало б ефект об'ємності
Місяця.
Зауважимо,
що ми вважали за можливе й навіть
потрібне зберегти мову оригіналу у
використаних уривках із художніх
творів, бо їхніми авторами є найвидатніші
майстри слова.
-------------------------------------------------------------------------------------------------------
16. Від
Північного полюса до Південного крізь
центр Землі прорита шахта. Один снаряд
починає падати в шахту з нульовою
початковою швидкістю, а інший запускається
на низьку колову орбіту навколо Землі.
Який зі снарядів раніше досягне
Південного полюса? Чи буде всередині
снаряда, що падає в шахті, стан невагомості?
Яку швидкість матиме цей снаряд, коли
він досягне Південного полюса?
Розв'язання:
Час
досягнення Південного полюса
снарядом-супутником Землі визначається
як половина періоду його обертання
навколо Землі. Щоб знайти цей час, треба
довжину півкола πRЗ (Rз —
радіус
Землі) поділити на першу космічну
швидкість:
Одержимо,
що час
Зауважимо,
що формулу для першої космічної
швидкості нескладно отримати, якщо
дорівняти прискорення вільного
падіння, яке визначається згідно із
законом всесвітнього тяжіння як
доцентровому
прискоренню
Час
руху снаряда в шахті визначити складніше.
Річ у тому, що в кожний момент він
притягується лише тією частиною маси
Землі, яка міститься всередині сфери,
що проходить через миттєве положення
снаряда. Тому першу половину свого
шляху снаряд проходить, рухаючись
прискорено, але величина прискорення
зменшується до нуля в центрі Землі.
Закон цього зменшення залежить від
змінення величини маси, яка притягує
снаряд, а остання, у свою чергу, залежить
від закону зміни густини Землі вздовж
її радіуса. Але можна відповісти на
питання задачі, якщо розглянути прості
граничні випадки розподілу густини в
планеті, поміж якими знаходиться цей
розподіл для реальної Землі.
Випадок
1. Однорідна
планета (модель Ньютона) — густина ρ не
залежить від відстані до її центра.
Тоді на відстані r від
центра маса, що притягує снаряд, дорівнює
а
прискорення снаряда дорівнює відповідно
Знак
«-» указує на те, що радіус-вектор і
вектор прискорення протилежно спрямовані.
Але вираз для прискорення показує, що
воно за величиною є пропорційним
відстані до центра, тобто ми маємо тут
справу з таким же законом для сили, як
у випадку пружних коливань. Це значить,
що півперіод коливання (час, який нам
і треба визначити), можна знайти за
аналогією до формули для півперіоду
малих коливань маятника:
де L —
довжина
маятника, а g —
прискорення
вільного падіння на поверхні Землі.
Прискорення ж маятника
де r —
відхилення
маятника від положення рівноваги в
горизонтальному напрямку. Порівнюючи
вирази для прискорень маятника та
нашого снаряда, одержимо, що час руху
останнього
Цікаво,
що цей час збігається з часом руху
супутника по півколу.
Випадок
2. Уся
маса планети зосереджена в її центрі
(дуже мале важке ядро й дуже легка
оболонка, модель Гюйгенса). У цьому разі
потрібний час можна знайти двома
шляхами. Перший — це інтегрувати від
0 до RЗ рівняння
прямолінійного руху з прискоренням
другий
— розглянути прямолінійний рух снаряда
від поверхні до центра Землі як рух за
гранично стисненим еліпсом з
ексцентриситетом, що дорівнює 1. Те ж
стосується й руху снаряда від центра
до Південного полюса. Тоді, за третім
законом Кеплера, повний час руху снаряда
дорівнюватиме періоду руху за еліпсом
із великою піввіссю
та
відрізнятиметься від випадків Т1 і Т2а множником
Тож
ми отримаємо, що час
Час
руху снаряда в реальній Землі
задовольнятиме нерівність Т2b<Т2<Т2а і
буде меншим від часу руху снаряда-супутника
за коловою орбітою.
Стан
невагомості в снаряді, що рухається в
шахті, звичайно, буде, бо вага — це
реакція опори, а за будь-якого вільного
руху ця реакція відсутня.
До
Південного полюса снаряд у шахті прийде
з нульовою швидкістю. У першому випадку
це випливає з аналогії з маятником, а
в загальному випадку — із симетрії
задачі відносно центра Землі.
Корисно
звернути увагу учнів на те, що прийом,
застосований у цій задачі,— знаходження
меж, у яких лежить шукана величина,— є
досить типовим для фізики й астрономії.
-----------------------------------------------------------------------------------------------------------
17. На
орбітальній станції космонавти вирішили
зустріти Новий рік вечерею при свічках.
Скільки часу буде горіти на станції
свічка, якщо на Землі вона згоряє за 3
години?
Розв'язання:
На
жаль, із новорічною вечерею при свічках
в екіпажу орбітальної станції нічого
не вийде. Для горіння свічки потрібен
кисень, тому в повітрі, яке безпосередньо
оточує полум'я свічки, його вміст швидко
зменшиться. Але це ж полум'я нагріває
повітря. Нагріте повітря розширюється,
стає легшим і піднімається вгору. На
його місце надходить холодніше повітря,
збагачене киснем, що в цьому разі є
найважливішим. І свічка продовжує
горіти. Явище піднімання нагрітого
повітря вгору зветься конвекцією. Вона
виникає тоді, коли виштовхувальна сила
Архімеда стає більшою від ваги нагрітого
повітря. А на орбітальній станції в
умовах невагомості конвекція не
виникатиме, і свічка швидко згасне.
Узагалі, відсутність конвекції в газі
або рідині в невагомості — це суттєва
особливість умов на борту космічного
апарата.
----------------------------------------------------------------------------------------------------------
18. Молярна
маса речовини Сонця дорівнює приблизно
0,6. Чому вона менша від 1? Зробить оцінку
повної кількості частинок, що утворюють
Сонце.
Розв'язання:
Молярна
маса — це маса атома чи молекули в
атомних одиницях маси, практично в
частках маси протона. Тому здається,
що вона не може бути меншою від 1, бо
такою вона є в найлегшого атома — атома
Гідрогену. Але речовина Сонця нагріта
до дуже високих температур — від 6000 К
біля поверхні до 15 млн К у центрі. Тому
вона вся (за винятком дуже тонкого
поверхневого шару) повністю йонізована.
Більшу частину речовини Сонця становить
Гідроген (приблизно 70 % за масою). Під
час йонізації Гідрогену одержуємо дві
частинки — протон та електрон. Маса
електрона дуже мала (у 2 тис. разів менша
від маси протона). Тому молярна маса
суміші протонів та електронів практично
дорівнює 0,5. Решту, майже 30 % маси Сонця,
становить Гелій, частка більш важких
елементів не перевищує 2 %. Молярна маса
Гелію дорівнює 4, але за повної його
йонізації утворюється два електрони,
тобто всього три частинки, тому молярна
маса повністю йонізованого Гелію
дорівнює 4/3. Як тепер знайти молярну
масу суміші йонізованих Гідрогену та
Гелію? Слід скористатися рівнянням
стану ідеального газу:
Де р —
тиск, R —
універсальна
газова стала, ρ —
густина,
а Т —
температура. Однак такому ж рівнянню
стану підкоряється не тільки суміш
газів, але й кожний газ окремо, тобто
маємо:
Але
повний тиск створюється сумою тисків
окремих газів, а їхні густини дорівнюють
0,7 і 0,3 від повної густини суміші.
Складаючи праві частини останніх двох
рівнянь із відповідними масами й
дорівнюючи отриману суму правій частині
попереднього рівняння, одержимо, що
Підставляючи
значення молярних мас йонізованих
Гідрогену та Гелію, одержимо, нарешті,
значення молярної маси речовини Сонця,
яке дорівнює приблизно 0,6.
Щоб
знайти тепер повну кількість частинок,
які утворюють Сонце, треба лише поділити
його масу на добуток µmp:
Тепер,
за бажанням, можна оцінити повне число
нуклонів у Всесвіті, згадавши, що в
Галактиці приблизно 400 млрд зір, а в
Метагалактиці — близько 1 млрд галактик.
Матимемо таку оцінку за порядком
величини:
19. Поверхня
Місяця відбиває всього 7 % сонячного
світла, яке падає на неї. Чому ж яскравість
місячної поверхні не в 14 разів, а в сотні
тисяч менша, ніж яскравість сонячного
диска?
Розв'язання:
Яскравість
не самосвітної, а відбивної поверхні
(а саме такою є поверхня Місяця)
пропорційна її освітленості та відбивній
здатності. А освітленість від точкового
(або сферично симетричного джерела,
яким і є Сонце) змінюється обернено
пропорційно квадрату відстані до нього,
тому відношення середніх яскравостей
дисків Місяця та Сонця
де А —
відбивна здатність поверхні Місяця, R —
радіус
Сонця, r —
середня
відстань від Сонця до Місяця, яка
дорівнює 1 а. о. Обчислення показують,
що
Перш
ніж перейти до наступних задач, нагадаємо
необхідні відомості про закони теплового
випромінювання. Якщо електромагнітне
випромінювання перебуває в термодинамічній
рівновазі з речовиною, яка поглинає
все випромінювання, що падає на неї
(абсолютно чорне тіло), то інтенсивність
випромінювання такою речовиною
(кількість енергії, що її випромінює
одиниця поверхні в одиничному тілесному
куті та одиничному інтервалі довжин
хвиль за одиницю часу) залежить тільки
від температури поверхні та визначається
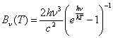
законом (або функцією) Планка:
де h —
стала
Планка, с —
швидкість світла, k —
стала
Больцмана (це множник переходу від
температури до енергетичних
одиниць), e=2,718
— основа натуральних логарифмів. Якщо
підсумувати випромінювання на всіх
довжинах хвиль (тобто проінтегрувати
функцію Планка від 0 до нескінченності
за λ), то
одержимо повну кількість енергії, що
випромінюється з одиниці поверхні в
одиницю тілесного кута за одиницю часу,
яка визначається законом Стефана-Больцмана:
де
σ — стала Стефана — Больцмана, вона
дорівнює:
Повна
ж потужність випромінювання з одиничної
площадки дорівнює πВ(Т).
У
функції Планка є один максимум. Його
положення та значення залежать від
температури: чим вищою є температура,
тим на коротшій хвилі буде розташований
цей максимум (
—
закон
зміщення Віна, b=0,29см)і
тим більше значення він матиме. Якщо
температура поверхні настільки мала,
що у видимому оком діапазоні спектра
випромінюється дуже мало енергії, то
поверхня буде справді здаватися чорною.
Якщо ж максимум випромінювання потрапляє
у видимий діапазон довжин хвиль, то
поверхня буде яскравою, колір її
визначатиметься тим, у яку частину
спектра (синю, жовту і т. д.) потрапляє
цей максимум.
----------------------------------------------------------------------------------------------
20. Під
час будівництва обсерваторії на Місяці
в спекотний місячний полудень
роззява-космонавт розлив на залізній
поверхні відро білил. Через деякий час
виявилося, що не тільки працювати, але
й просто стояти на ній неможливо. Чому?
До
речі, чому доцільно побудувати
обсерваторію на Місяці?
Розв'язання:
По-перше,
з'ясуймо, що означають слова «у спекотнии
місячний полудень». Місячна поверхня
нагрівається тією часткою сонячного
випромінювання, яку вона поглинає і
яку сама потім випромінює згідно із
законами теплового випромінювання.
Для того щоб знайти енергію, що її
поглинає одиниця поверхні Місяця, треба
знати сонячну сталу Е (кількість
енергії, що приходить до одиничної
площадки, яка є перпендикулярною до
напрямку на Сонце, за одиницю часу на
середній відстані Землі та Місяця від
Сонця,
).
Тоді повна кількість сонячної енергії,
що її перехоплює Місяць, дорівнює πR2∙E ,
де R —
радіус
Місяця, а випромінюється частка цієї
енергії, яка дорівнює 1-А, де А — відбивна
здатність місячної поверхні. З другого
боку, повна кількість енергії, яка
випромінюється згідно із законом
Стефана-Больцмана, дорівнює
. Зрівнюючи
ці кількості енергії, знайдемо з
одержаного рівняння температуру
поверхні. Матимемо, що температура
Множник
2 у знаменнику підкореневого виразу
з'являється тому, що площа півсфери
Місяця, яка освітлюється Сонцем, удвічі
більша від поперечного розрізу Місяця.
Зауважимо, що температура, яку знаходять
таким чином, має назву ефективної.
Обчислення ефективної температури
місячної поверхні, освітленої Сонцем,
дає значення T=388 К.
Справді спекотно — більш ніж +100 °С. Що
ж відбудеться з температурою залитої
білилами залізної поверхні? Її відбивна
здатність є близькою до 1, і з одержаної
формули видно, що температура поверхні
знизиться. Нехай (для визначеності)
відбивна здатність білил дорівнює 99 %
. Тоді температура поверхні становитиме
всього 123 К, або -150°С,— довго на ній
встояти справді буде важкувато. Мають
виникнути питання: чому йдеться саме
про залізну поверхню й чому можна
знехтувати її нагрівання від місячного
ґрунту? Мала теплоємність заліза приведе
до того, що поверхня швидко остигне,
мала теплопровідність дуже пористого
місячного ґрунту заважатиме передачі
тепла від ґрунту до більш холодної
залізної поверхні.
Нарешті,
слід зауважити, що під час розв'язання
цієї задачі ми не враховували ще такої
обставини. Певна частина сонячного
випромінювання (довгохвильовий «хвіст»
його спектра) лежить в інфрачервоній
частині, де відбивна здатність білил
зменшується. Тому температура залізної
поверхні, залитої білилами, буде
насправді дещо вищою.
Стосовно
доцільності побудови астрономічної
обсерваторії на Місяці, то вона пов'язана
насамперед із відсутністю на ньому
атмосфери. Земна атмосфера взагалі
пропускає випромінювання небесних тіл
лише в оптичному діапазоні та певній
частині радіодіапазону. В оптичному
діапазоні вона спотворює спектральний
склад випромінювання, а головне, обмежує
роздільну здатність телескопів.
Відсутність розсіяного атмосферою
світла дозволяє вести спостереження
на Місяці не тільки вночі, але й удень,
а мала швидкість добового обертання
Місяця спрощує проблему гідування під
час спостережень.
----------------------------------------------------------------------------------------------------------
21. Поет
М. Гумільов писав:
На
далекой звезде Венере
Солнце
пламенней и золотистей.
На
Венере, ах, на Венере
На
деревьях синие листья.
Наскільки
Сонце на Венері є палючішим, тобто
наскільки Венера отримує від Сонця
енергії більше, ніж Земля, і яка має
бути на ній у зв'язку з цим температура?
Чи можуть на Венері рости дерева із
«синім листям»?
Розв'язання:
Знайти
сонячну сталу для Венери нескладно.
Для цього треба сонячну сталу для Землі
поділити на квадрат великої півосі
орбіти Венери, виражену в астрономічних
одиницях. Потім можна знайти ефективну
температуру Венери за формулою
попередньої задачі, для чого треба
знати відбивну здатність Венери. її
поверхня вкрита суцільним шаром хмар.
Хмари досить світлі, можна прийняти
їхню відбивну здатність рівною 0,7
(зверніть увагу на те, що, обчислюючи
ефективну температуру, доводиться
видобувати корінь четвертого степеня,
а тому результат є малочутливим до
вихідних даних, якщо відбивна здатність
не зовсім близька до одиниці). Ефективна
температура Венери виявляється рівною
290 К. Здавалося б, температура цілком
придатна для життя. Але Венера — це не
Місяць, вона має потужну атмосферу
(«знатну атмосферу», за висловом М. В.
Ломоносова, який відкрив її 1761 р.).
Складається ця атмосфера переважно з
вуглекислого газу, який ефективно
поглинає інфрачервоне випромінювання.
Саме в цій частині спектра лежить
максимум планківського випромінювання
за розглядуваних температур (Т≥100 К).
Атмосфера поглинає, а потім перевипромінює
випромінювання поверхні планети
частково в космос, а частково назад до
поверхні. Унаслідок цього температура
поверхні та нижньої атмосфери
підвищується. Таке явище має назву
парникового ефекту. На Венері це
підвищення температури вельми значне.
Температура поверхні Венери сягає 750
К, що підтверджено вимірами за допомогою
радянських автоматичних станцій.
Зрозуміло, що про жодні форми життя за
таких умов не може бути й мови.
Заради
справедливості треба зауважити, що
тоді, коли М. Гумільов писав свого вірша,
про все це ще не було відомо. Пробачимо
поетові й те, що планету Венеру він
назвав зорею.
----------------------------------------------------------------------------------------------------------
22.Який
колір має Сонце, коли воно сходить і
коли заходить?
Розв'язання:
Ця
задача може видатися дуже простою.
Усякий, хто бачив схід і захід Сонця,
скаже, що воно в цей час має червоний
колір. А зумовлюється це тією ж причиною,
яка викликає почервоніння Місяця
поблизу горизонту. Але слід згадати
сказане наприкінці вступу до задач
10—14 про колір самосвітних тіл. Спробуємо
з'ясувати, де лежить максимум прямого
сонячного випромінювання, що пройшло
крізь земну атмосферу. Це вже задача
непроста. Розіб'ємо її розв'язання на
чотири етапи. По-перше, з'ясуємо, якою
була б висота земної атмосфери, якби
вона була однорідною, тобто якби її
густина не змінювалася з висотою.
По-друге, знайдемо довжину шляху
світлового променя в цій атмосфері для
світила, яке спостерігається на
горизонті. По-третє, з'ясуємо, як
ослаблюється під час проходження
атмосфери світло з різною довжиною
хвилі. І, нарешті, знайдемо положення
максимуму в спектрі сонячного
випромінювання, яке пройшло крізь
атмосферу.
1) Висота
однорідної атмосфери Н має
бути такою, щоб вага її одиничного
стовпа дорівнювала атмосферному тиску
біля поверхні, тобто
Підставляючи
сюди
та
знайдемо,
що Н=8 км.
2) Довжина
променя світла знаходиться з відповідного
трикутника за теоремою Піфагора й
дорівнює:
Тут
ми знехтували відносно дуже малу
величину Н2.
3) Якщо
світло проходить достатньо малу
відстаньds, то
його інтенсивність I зменшиться
на малу величину dI,пропорційну
пройденій відстані, тобто
звідки
Інтегруючи, а потім потенціюючи останній вираз, матимемо:
Зауважимо,
що отримана формула має назву закону
Бу-гера.
4) Тепер
можна записати вираз для спектрального
складу сонячного випромінювання,
що пройшло крізь земну атмосферу:
Лишилося
знайти, за якого значення довжини хвилі
А. функція І(λ) має
максимум. Якщо підійти формально, то
для цього слід знайти похідну функції
та дорівняти її нулю. Але розв'язати
одержане таким чином рівняння можна
лише якимось числовим методом. Тому
простіше обчислити таблицю значень
функції І(λ). Почати
обчислення можна зі значення λ=0,6
мкм, бо відшукуваний максимум лежить
принаймні в червоній частині спектра,
та обчислювати значення функції,
збільшуючи значення довжини хвилі
кожного разу на 0,1 мкм доти, доки значення
функції не почнуть зменшуватися.
Температура сонячної фотосфери дорівнює
5800 К, а коефіцієнт а (коефіцієнт
ослаблення, або екстинкції) можна
прийняти, як показують астрономічні
спостереження, рівним 0,1 для довжини
хвилі λ=0,6 мкм,
а потім він зменшується обернено
пропорційно четвертому степеню довжини
хвилі світла. Результатом обчислень
буде така таблиця (у відносних одиницях,
без урахування постійного множника2hc2):
Із
цієї таблиці видно, що шуканий максимум
лежить поблизу 1 мкм, тобто досить далеко
в інфрачервоній частині спектра. Таким
чином, відповідь на питання задачі буде
такою: Сонце під час сходу та заходу є
інфрачервоним, а те, що ми бачимо,— це
червоний короткохвильовий «хвіст»
прямого сонячного світла, яке пройшло
крізь земну атмосферу.
----------------------------------------------------------------------------------------------------------
23.Сонце
— джерело життя на Землі. А якою є
середня енергія фотонів сонячного
випромінювання?
Розв'язання:
Енергія
кожного фотона дорівнює
Тому
й формулу Планка в цій задачі зручніше
використати у вигляді залежності
інтенсивності випромінювання від
частоти:
Щоб
знайти середню енергію фотонів, які
випромінюються за даної температури,
треба обчислити кількість цієї енергії
в одиниці об'єму (густину енергії
випромінювання) і поділити її на
кількість фотонів в одиниці об'єму
(їхню концентрацію). Формула Планка дає
енергію, що випромінюється в одиничний
тілесний кут. Це значить, що треба
величину Вλ(Т) помножити
на 4π — величину повного
тілесного кута. Одиничну відстань
фотони проходять за час, що дорівнює 1/с,
де с — швидкість світла. Таким
чином, повна густина енергії випромінювання
на всіх частотах дорівнює:
Для
того, щоб визначити концентрацію
фотонів, слід спочатку знайти число
фотонів із даною частотою ν ,
поділивши їхню повну енергію Вλ(Т) на
енергію одного фотона hν ,
потім скласти всі ці числа (проінтегрувати
за частотою). У результаті концентрація
фотонів є такою:
Якщо
в обох одержаних інтегралах замість Вλ(Т)
підставити його вираз і замінити в
них
на х, то,
ураховуючи, що
одержимо:
Поділивши
першу рівність на другу, знайдемо, що
середня енергія фотонів дорівнює:
де
коефіцієнт А дорівнює відношенню
інтегралів у попередніх рівностях. Для
спрощення цих інтегралів відкинемо в
знаменниках підінтегральних виразів
одиниці. За значень змінної х, значно
більших від 1, це не спричиняє помітної
похибки. Якщо х є близьким до 1, у
самих підінтегральних виразах похибка
буде відчутною, а у відношенні інтегралів
вона значно зменшиться. Тепер
Якщо
подивитися в будь-який математичний
довідник, у якому є таблиці інтегралів
(а саме так зазвичай і роблять фізики
та астрономи), побачимо, що
де n! (факторіал n) означає
добуток усіх цілих чисел від 1 до п. Звідси
випливає, що коефіцієнт А дорівнює
3 (точне ж його значення дорівнює 2,70).
Зауважимо, що ці інтеграли не так вже
важко знайти й без допомоги таблиць:
для цього достатньо проінтегрувати
перший із них за частинами тричі, а
другий — двічі.
Обчислюючи
тепер середню енергію фотонів сонячного
випромінювання (T =
5800 К), знаходимо, що вона дорівнює:
Це
означає, що певна кількість сонячних
фотонів має енергію в кілька електрон-вольт.
Саме таку енергію мають електрони в
атомах і молекулах, а значить, і енергії
хімічних, а відтак і біохімічних
процесів.
З
цим і пов'язане зроблене в умові задачі
твердження про Сонце як джерело життя
на Землі.
----------------------------------------------------------------------------------------------------------
24.Середня
густина речовини у Всесвіті становить
приблизно 8∙10-30 г/см3.
Чого у Всесвіті більше: нуклонів
(протонів і нейтронів, разом узятих) чи
квантів електромагнітного випромінювання
— фотонів?
Розв'язання:
Для
того щоб відповісти на поставлене
питання, слід знайти середні концентрації
нуклонів і фотонів у Всесвіті. Концентрація
нуклонів знаходиться діленням середньої
густини речовини (а це
)
на масу одного нуклона:
Для
визначення концентрації фотонів треба
скористатися результатами попередньої
задачі, з яких випливає, що ця концентрація,
що дорівнює повній густині енергії
випромінювання, поділеній на середню
енергію одного фотона, становить:
Але
яке ж значення температури треба взяти?
Відомо, що весь Всесвіт рівномірно
заповнений так званим реліктовим
випромінюванням — фотонами, що залишилися
від минулих епох еволюції Всесвіту. Що
ж до випромінювання зір, то його густина
спадає обернено пропорційно відстані
від зорі, і тому його внесок в середню
густину випромінювання нехтовно малий.
Температура реліктового випромінювання
зараз дуже невелика — усього 2,7 К. Це
значення температури дає концентрацію
фотонів, яка дорівнює приблизно 400
фотонам у кубічних сантиметрах. Таким
чином, виявляється, що число фотонів у
Всесвіті приблизно в сто мільйонів
разів більше від числа нуклонів.
Результат
може видатися несподіваним і дивним.
Але дивним насправді є те, що у Всесвіті
взагалі існує така відносно мала
кількість нуклонів. Річ у тому, що,
розширюючись, наш Всесвіт остигає. Коли
в минулому температура Всесвіту була
значно більшою від енергії спокою
нуклонів (1,3 ГеВ), то нуклони й антинуклони
перебували в стані термодинамічної
рівноваги та існували в однакових
кількостях. Коли ж температура стала
меншою від енергії спокою нуклонів, то
мала відбутися анігіляція нуклонів та
антинуклонів. Чому ж певна кількість
нуклонів збереглася? Це питання баріонної
асиметрії Всесвіту. Одну з можливих
відповідей на це питання дав академік
А. Д. Сахаров. Виявляється, що швидкості
реакцій перетворення пари «нуклон —
антинуклон» на два гамма-кванти та
оберненої реакції утворення такої пари
з двох γ-квантів
трохи різні. І цього «трохи» вистачило
для того, щоб залишилася та кількість
нуклонів, із яких складаємося і ми самі,
і весь навколишній світ. Згідно із
законом збереження електричного заряду,
під час анігіляції електронів і позитронів
залишилася й кількість електронів, що
дорівнює кількості протонів.
----------------------------------------------------------------------------------------------------------
25. Оцініть приблизну ширину
метеорного потоку Леоніди, якщо відомо,
що він спостерігається з 16 по 22 листопада.
Відповідь.
Протяжність метеорного
потоку щонайменше дорівнює довжині
шляху, який Земля проходить за даний
час. Для нашого випадку це 7 діб. Протяжність
біля 0.12 а.о.
----------------------------------------------------------------------------------------------------------
26. Який
період обертання
штучного
супутника
Землі, що
рухається на відстані
1600 км від
поверхні Землі?
Розв'язання:
- сила тяжіння
ШСЗ,
Доцентрова сила, що
діє на супутник .
Тоді
Звіси період Т=
= 7200 сек 2
год
----------------------------------------------------------------------------------------------------------
27. Запропонуйте
метод визначення мас планет Венери і
Марса за спостереженнями з Землі.
Відповідь:
Масу планети можна визначити дуже
точно, якщо у неї є супутник. Його відстань
від центру планети R і період обертання
T дозволяють за третім
законом Кеплера обчислити масу планети:
Отже для Марса, що має супутники,
задача визначення маси вирішується
просто. У Венери супутників немає. Тому
її точну масу вдалося встановити лише
після появи у Венери штучних супутників.
----------------------------------------------------------------------------------------------------------
28.
Яку частку
земної
поверхні може
охопити
поглядом
космонавт
з висоти
400 км?
Розв’язок:.
Нехай т.О
– центр Землі, К
– космонавт, Г
– горизонт. Позначимо довжини відрізків:
ОГ через
R, КГ
через D.Тоді
довжинва відрізка КО
дорівнює R+h
, де h=400
км – висота орбіти. Відстань до горизонту
визначимо з рямокутного трикутника ГОК
за теоремою Піфагора (R +
h)2
= D2 +
R2,
звідки D2
= 2 R h + h2
= 2 R h (1 +
h/2R).
Оскільки h<< R,
то доданком h2 можна
знехтувати. Тоді отримаємо формулу для
відстані до горизонту для висоти
спостерігача h << R: D = .
Оскільки D
<< R, площу поверхні
Землі, досяжну погляду космонавтв, можна
визначити як площу круга: s
= D2,
оскільки повна площа поверхні землі
обчислюється як площа сфери:
S
= 4
R2.
Відношення цих сфер складає
(тобто
3%).
----------------------------------------------------------------------------------------------------------
29. Розрахувати
другу космічну швидкість для частинки
поблизу нейтронної зорі, якщо її радіус
10 км та маса рівна сонячній масі. Маса
Сонця рівна 1,989∙1030
кг.
Відповідь:
Параболічна швидкість
(друга космічна)
Підставляємо
значення G=6,67∙10-11
Н∙м2/кг2;
M =2∙1030
кг; R = 104м,
υp=1,63∙108м/c
(Більше половини швидкості світла!)
------------------------------------------------------------------------------------------------------------------
30.
Чи будуть
однакові
швидкість
вильоту і
дальність польоту
снаряда
при пострілі
з однієї і
тієї ж
гармати на
Землі і на
Місяці?
(опором
земної
атмосфери
знехтувати).
Розв’язок:
Кінетична
енергія
снаряда
залежить
тільки від
енергії заряду
і співвідношення
мас гармати
(M) і снаряда
(m). Якщо
маса гармати
велика, то
снаряд
забирає із
собою всю
енергію
пострілу Е:
Mυ + mυ = 0- закон збереження імпульсу
тому швидкість вильоту снаряда не
залежить від того, на якому небесному
тілі зроблено постріл. А дальність
його польота
- залежить.
Нехай
- кутнахилу дула гармати до
горизонту. Тоді
дальність польоту
L =
Як бачимо,
при однакових
і υ
дальність
польоту
обернено пропорційна
значенню
g. Наприклад,
на Місяці
та ж гармата
вистрелить
в 6 разів
далі, ніж на
Землі (а
з урахуванням
опору повітря
- ще далі).
-----------------------------------------------------------------------------------------------------------------
31. Перший
радянський супутник виглядав як
баскетбольний м’яч, діаметром 580 мм і
масою 83.6 кг. Його поверхню було вкрито
шаром добре відполірованого алюмінію,
товщиною 2 мм. Рухався супутник по
еліптичній орбіті з перигеєм 227 км і
апогеєм 945 км. Оцініть, чи можна було
спостерігати супутник неозброєним
оком.
Розв’язок:
Потік
енергії від Супутника до спостерігача:
Аналогічно
для Місяця
Супутник
був зеркальним, то ж його альбедо
Альбедо Місяця візьмемо з таблиці. Тому:
, це
відповідає 15.7 зоряним величинам. Беручи
до уваги зоряну величину Місяця -12.7,
маємо величину Супутника -12.7+15.7=3.0
Отже,
супутник було видно неозброєним оком.
---------------------------------------------------------------------------------------------------------------------
32. Відомо,
що вільні електрони розсіюють
випромінювання практично рівномірно
у всі боки як металеві кульки з радіусом
4.6*10–15
м, а важчі частинки (атоми, іони, протони)
розсіюють випромінювання значно гірше.
Вважаючи, що корона складається з чистого
водню, атмосферний тиск у нижніх шарах
сонячної корони складає 0.003 Па, а середня
температура корони 1 000 000 K, оцініть
зоряну величину Сонця під час повної
фазі сонячного затемнення на Землі.
Розв’язок.
Температура
висока, тому газ повністю іонізований.
Основний внесок у світимість корони
вносять близькі до Сонця ділянки.
Вважаючи, що прискорення вільного
падіння з висотою не змінюється, принаймні
у нижніх шарах корони, тиск рівний:
тут
-
маса речовини у короні, що знаходиться
у стовпі площею 1 м2.
З високою точністю це є маса протонів.
У цій же зоні рівно стільки ж електронів
,
які перехоплюють випромінювання, що
йде знизу. Загальна площа всіх цих
електронів
Тобто, електрони
перехоплюють і розсіюють саме цю частку
випромінювання Сонця, і тому
----------------------------------------------------------------------------------------------------------------------
33. Момент
останнього великого протистояння Марса
- 28 серпня 2003 року о 17:30 за всесвітнім
часом. Наступна така подія буде у 2018
році. Визначте момент його настання.
Розв’язок:
Синодичний період
Марса ... 779.95 діб. 28 серпня 2018 року буде
через 5479 від 28 серпня 2003 року, тобто,
через 7.027 синодичних періоди. Точніше,
через 5479 – 7*779.25 = -19.35, тобто, за 19.35 діб
до 28 серпня. Це 9 серпня.
-----------------------------------------------------------------------------------------------------------------------
34. Яким
має бути розмір гіпотетичної міжзоряної
хмари молекулярного водню з густиною,
рівною густині повітря за нормальних
умов і температурою 1000 К, щоб з неї
утворилася зоря масою 0.2 маси Сонця.
Оцініть час стиснення хмари в зорю.
Розв’язок.
Для
цього потрібно визначити, при якому
радіусі хмари, у ній всередині буде
маса, рівна 0.2 маси Сонця:
У
оригінальному тексті задачі пропонується
також визначити розмір хмари, при якому
воно стане стискуватись під дією власної
гравітації, а не буде розсіюватись. Для
цього теплова швидкість його частинок
не повинна бути більшою, ніж друга
космічна швидкість на краю. Тобто,
З цього виразу отримаємо
Однак, з такої хмари вийде
дуже маленька
зірочка, лише вдвічі більша, ніж Земля,
тому це обмеження не грає суттєвої ролі.
Для
оцінки часу стиснення, порахуємо час,
за який молекула на краю хмари долетить
до її середини, за умови просто вільного
падіння, навіть нехтуючи зміною
прискорення вільного падіння з часом.
Отже,
-----------------------------------------------------------------------------------------------------------------------
35. Дід
Мороз запитав у свого оленя (на якому
він розвозить подарунки) скільки зірок
на небі? Вияснилось, що на всьому небі
олень налічує їх аж 252707. Чому? Поясніть
відповідь обчисленнями.
Розв’язок.
Олень бачить в
разів більше зірок. Якщо зірки розподілені
рівномірно, це значить, що олень заглядає
3,483
= 42,12, тобто в 3.48 разів далі. Проникна
сила зрачків (так би мовити
телескопів)
пропорційна діаметру, тому, зрачок ока
оленя в 3,48 разів більший, тобто близько
20 мм.
----------------------------------------------------------------------------------------------------------
36. Кулясте
зоряне скупчення на нашому небі має
блиск +4,5 і видимий діаметр 25’. Відстань
до скупчення 3 кпк. Вважаючи, що скупчення
складається виключно з зірок типу Сонця,
що рівномірно займають його об’єм, а
поглинання світла немає, оцініть
яскравість на нічному боці планети, що
обертається довкола зірки поблизу
центра скупчення. Порівняйте з освітленістю
на Землі при повному Місяці.
Розв’язок:
Радіус
скупчення
Його об’єм
З відстані 3 кпк зірка
типу нашого Сонця буде мати зоряну
величину
Тому
всього зірок у скупченні (m0
– зоряна величина всього скупчення).
А їх концентрація
Кількість
зірок у сферичній оболонці
Зоряна
величина окремої зірки
Освітленість від неї
Освітленість від усіх
зірок оболонки
Освітленість від усіх
зірок скупчення є сума всіх освітленостей
від усіх зірок скупчення.
Повна зоряна величина
Приблизно
в 60 разів темніше, ніж
при повному Місяці на Землі.
----------------------------------------------------------------------------------------------------------
37.
Паралакс Альтаїра
0.198’’, власний рух 0.658’’/рік, променева
швидкість -26 км/с, зоряна величина 0.89m.
Коли та на якій відстані
Альтаїр буде найближче до Сонця? Яка в
нього буде зоряна величина в цей момент?
Розв’язок.
Швидкість,
перпендикулярна до променя зору
Швидкість
вздовж променя зору υR
= 26 км/с.
Загальна швидкість
30,42 км/с спрямована до променя зору під
кутом б. tgб
= 15,79/26. cosб
= 0/8546, sinб = 0.5193.
У прямокутному
трикутнику з вершинами у Альтаїрі, Сонці
і основі перпендикуляря, опущеного з
Сонця на лінію, вздовж якої рухається
Альтаїр сторони рівні 5,05, 4,32 і 2,62 парсек.
Час на проходження відстані 4,32пк складає
139 тис років, найменша відстань 2,62 пк.
----------------------------------------------------------------------------------------------------------
----------------------------------------------------------------------------------------------------------
38. Знайти
ексцентриситет і велику піввісь орбіти
комети, якщо в перигелії лінійна швидкість
в 10 раз більша, ніж у афелії, а перигелійна
відстань рівна 0.5 а.о.
Розв’язок.
Оскільки
простий запис цього рівняння для
перигелію та афелію дає:
,
тобто е=9/11. Крім того,
тобто
а=2,75
а.о.
----------------------------------------------------------------------------------------------------------
39. На
одному з дивних астероїдів Сонячної
системи, альбедо якого рівне нулю сидить
група абсолютно чорних котів, які
дивляться в сторону Сонця. Спостерігач
на Землі бачить їх як один об’єкт. Один
з котів закрив одне своє око, після чого
спостерігач помітив, що зоряна величина
цього об’єкта
Розв’язок:
Кожне око є джерело
світла. Нехай їх n
штук. Тоді
, але
Тому
звідки отримуємо .
Отже котів три.
----------------------------------------------------------------------------------------------------------
40. Лінія
434.0 нм у спектрі далекої галактики має
довжину хвилі 477.4 нм. Видимий діаметр
галактики 10’’. Знайти швидкість руху
галактики, відстань до неї і розміри.
Порівняти з Галактикою.
Розв’язок.
Червоне
зміщення лінії у спектрі галактики
рівне z = (л-л0)/л0=434/4340
= 0,1. Згідно з ефектом Доплера це зміщення
лінії пояснюється віддаленням від нас
зі швидкістю V = z·c = 30000 км/с.
За
законом Хаббла відстань до галактики
r = V/H = 30000/63 =476 Мпк. Діаметр галактики
рівний d = r·sin 10'' = 476·2·10-4
= 0,08Мпк = 95 кпк. Галактика
більша, ніж наша Галактика в 3 раза.
----------------------------------------------------------------------------------------------------------
41. Довкола
зірки масою рівною масі Сонця обертається
планета. Орбіта перпендикулярна до
картинної площини. Визначити масу
планети, якщо променева швидкість зорі
міняється на 20 м/с з періодом 100 діб.
Розв’язок.
Швидкість обертання
планети довкола зорі ,
або .
Крім
того, ,
або
З цих двох виразів маємо
Далі скориставшись
законом збереження імпульсу
або
----------------------------------------------------------------------------------------------------------
42.
Визначте ексцентриситет земної орбіти,
якщо відомо, що видимий діаметр Сонця
при спостереженні з Землі змінюється
з 31'31.8" до 32'36.4" протягом року.
Розв’язок:
Оскільки
видимі кутові розміри об’єкту лінійно
пропорційні відстані до нього. Отже
ексцентриситет орбіт буде
.
----------------------------------------------------------------------------------------------------------
43.
На скільки має раптово
зменшитись маса Землі, щоб Місяць покинув
її назавжди.
Розв’язок
Місяць
можна вважати таким що рухається по
коловій орбіті зі швидкістю:
, тоді як для того щоб покинути Землю
необхідно мати швидкість більше другої
космічної .
Оскільки
радіус місячної орбіти не змінюється,
то для того щоб Місяць міг «втекти» від
Землі необхідно, щоб нова маса Землі
була менша за теперішню більше ніж
вдвічі.
----------------------------------------------------------------------------------------------------------
44.
Дві зорі мають однакову абсолютну
зоряну величину.
Температура
першої 5000К, другої 10000К. Оцініть в скільки
разів
відрізняються їх радіуси?
Розв’язок
Закон
Стефана-Больцмана: .
Оскільки абсолютні зоряні величини
однакові, то це значить що і світність
цих об’єктів однакова. А
отже, .
В наближенні, що зорі мають сферичну
форму, отримуємо: .
Перша зоря вчетверо більша за другу
зорю.
----------------------------------------------------------------------------------------------------------
45.
Гора на лімбі Місяця має висоту
1 км. З якої відстані від
Місяця
космонавт може побачити її неозброєним
оком?
Розв’язок
Роздільна
якість нормального людського ока сягає
1 – 3' (для яскравих об’єктів ця величина
може бути більша).
Тому
зі звичайних тригонометричних міркувань:
де α- роздільна
кутова здатність людського ока в
радіанах. Отже в залежності від гостроти
зору космонавта ця відстань змінюється
від 3000 км до 1000 км.
----------------------------------------------------------------------------------------------------------
46.
В далекій галактиці спалахнула наднова
з видимою зоряною величиною 15m.
Оцінити червоне зміщення лінії Нα в
спектрі галактики (λ6563A). (Абсолютна
зоряна величина наднової складає -20m).
Розв’язок
Згідно
формули можна оцінити відстань до
об’єкта (в класичних міркуваннях)
Із
закону Хаббла ,
отже швидкість υ ≈
7500 км/с·Мпк (приймаємо сталу Хабла
75км/с·Мпк).
Зміщення
спектральної лінії буде складати, згідно
ефекту Доплера:
----------------------------------------------------------------------------------------------------------
47.
Дві зірки mv= 5 не розрізняються
оком, а спостерігаються як одна зоря.
Вказати видиму зоряну величину цієї
зірки.
Розв’язок
Згідно
формули Погсона .
Для системи зір .
Отже використавши першу формулу: .
----------------------------------------------------------------------------------------------------------
48.
Вкажіть орбітальну
швидкість комети, яка має параболічну
орбіту, в момент мінімальної відстані
до Сонця, якщо ця відстань дорівнює 1
а.о. Порівняйте з орбітальною швидкістю
Землі.
Розв’язок
Для
руху по параболі сумарна енергія системи
двох тіл
Отже (очевидно,
що комета, яка рухається по параболічні
орбіті буде мати другу космічну швидкість
відносно Сонця).
Земля
обертається по майже коловій орбіті,
відповідно її швидкість близька до
першої космічної відносно Сонця .
Таким чином відношення швидкостей
комети та Землі буде складати 2.
----------------------------------------------------------------------------------------------------------
49.
Астрофізики майбутнього проводили
ремонт свого космічного корабля поблизу
міжзоряного залізного сферичного
астероїда з радіусом 1000 км. Під час
ремонту один з дослідників загубив
маленький стальний підшипник, який
почав вільно падати на поверхню астероїда.
На якій мінімальній відстані від
астероїда проводились ремонтні роботи,
якщо відомо, що підшипник впавши на
поверхню повністю розплавився. Відомо,
що при ударі половина кінетичної енергії
підшипника пішла на його розігрів.
Розв’язок.
Розрахуємо
гравітаційну енергію підшипника яка
перейде в кінетичну в момент удару його
об поверхню астероїда:
де M -
маса астероїда, m-
маса підшипника, R
- радіус астероїда, r
- відстань між центром
астроїда та підшипником.
Оскільки
астероїд міжзоряний, то впливу інших
зір немає, отже і джерел випромінювання
також немає, і початкова температура
підшипника буде близька до 0 К.
Енергія
яка потрібна для розігріву підшипника
до температури плавлення, а потім на
його розплавлення буде складати:
,
де -
питома теплоємність сталі,
-
питома теплота плавлення.
Температура
плавлення сталі складає 14000С,
отже різниця температур на яку потрібно
розігріти підшипник буде порядку .
∆T=1670К.
За
умовою задачі половина кінетичної
енергії при ударі перейшла в теплоту
розігріву підшипника, то ,
підставивши значення енергій, та
врахувавши, що маса стального астероїда
отримаємо
значення відстані між астероїдом та
підшипником на початку падіння ,
де
Підставивши
значення радіусa отримаємо
r ≈ 6400км .
Отже
висота над астероїдом h
= r – R =
5400км.
----------------------------------------------------------------------------------------------------------
50.
В книзі відомого американського
фантаста А. Азімова «В полоні у Вести»
головний герой Мур спостерігає за небом
поблизу Вести. Ось як він описує свої
враження: Його пошуки Землі залишились
безрезультатними. Її не була видно.
Очевидно, Веста затуляла і Землю і Сонце.
И все-таки Мур не міг не звернути увагу
на інші небесні тіла. Зліва від нього
був Юпітер – яскрава куля, розміром з
горошину. Мур помітив і два супутника,
які обертались навколо нього. Неозброєним
оком був помітний і Сатурн - яскрава
планета невеликого розміру, яка при
спостереженні з Землі може конкурувати
з Венерою. Чи вірно описав можливу
картину автор?
Розв’язок:
Очевидно,
що Веста могла затуляти своїм тілом і
Сонце, і Землю, тим більш, що Земля є
внутрішньою планетою, по відношенню до
Вести.
Афелій
на відстань до Вести складає 2,57
а.о., для Юпітера 4,95. Отже
мінімальна відстань порядку (нахили
орбіт та довготи висхідного вузла майже
однакові для Юпітера та Вести).
Екваторіальний радіус Юпітера RJ
= 71500 км. Отже,
найбільший кутовий діаметр Юпітера,
при спостереженні з Вести може бути
,що
є на межі чутливості людського ока. І
для звичного «космонавта» швидше за
все не буде здаватись кулею.
Галілеєві
супутники Юпітера мають видиму зоряну
величину при спостереженні з Землі (в
протистоянні) менше 6m, в космічних
умовах, звісно людське око їх може
розрізнити. Але з Землі їх важко помітити
неозброєним оком, оскільки поблизу
наявний яскравий Юпітер (кутова відстань
між Юпітером і Іо, при спостереженні з
Землі, , для Калісто
ситуація дещо «краща»
. Але з Вести яка
знаходиться майже в два рази ближче
теоретично людина може добре помітити
Калісту, Ганімеда та можливо Європу.
Видимість двох супутників можна пояснити,
що інші могли зайти за планету, чи
проходити по диску (нахил орбіт супутників
майже нульовий). З наданих даних можна
оцінити і зоряні величини супутників.
Сатурн
не може бути дуже слабким, і має завжди
бути помітним неозброєним оком (звісно,
якщо він не проектується поряд зі Сонцем
на небі).
Сатурн
при спостереженні з Землі виглядає як
зоря (в протистоянні) -0.2m. Тоді як
Венера -3m ─ -4m. Отже Сатурн
з Венерою не «конкурує» при спостереженні
з Землі. При спостереженні з Вести, яка
знаходиться на 2,5 а.о від
Сонця то Сатурн буде конкурувати з
Венерою (спостереження якої будуть
ускладнені внаслідок яскравого Сонця
поблизу). Можна оцінити зоряні величини
Венери та Сатурна (відстані відомі, тому
Венера з Вести має m~0m, Сатурн m≥0m
(в протистоянні) ).
Якщо
провести інтерпретацію, що Сатурн з
Вести виглядає як і Венера, то і це не
вірно (Венера буде приблизно -1m,
а Сатурн не значно відрізнятись від
спостережуваного з Землі)
В
ході розв’язку вважалось, що альбедо
тіл перерахованих в задачі близькі за
значенням, і фази спостережуваних
об’єктів подібні.
----------------------------------------------------------------------------------------------------------
51.
Сонячна стала складає 1366 Вт/м2.
Вважаючи, що енергія Сонця береться з
реакції синтезу ядер гелію з ядер водню,
обрахуйте скільки водню згорає щосекунди
на Сонці.
Розв’язок:
Маса
спокою протона mH
= 1,6726 10-27
кг, маса спокою ядра
гелію (альфа-частинка) mHe
= 6,6429 10-27кг,
вважаємо, що переважно більша частина
енергії синтезу йде у електромагнітне
випромінювання. Тоді дефект маси в
реакції утворення одного ядра гелія
буде складати: Δm = 4 mH
– mHe
= 4,58 10-29кг,
що відповідає енергії 4,122 10-12Дж.
Сонячна
стала – це потік електромагнітної
енергії яка надходить на орбіту Землі
від Сонця. З неї легко розрахувати
загальну енергію, що випромінюється
Сонцем за одну секунду
4πf
· r2 =
4π 1366 2,23 1022
Дж = 3,8 1026
Дж.
Отже,
кількість реакцій синтезу ядер гелію
за одну секунду на Сонці має складати
.
Помноживши
цю величину на 4 отримаємо кількість
атомів водню, які потрібні для світіння
Сонця: 3,6·1038,
а отже загальна маса згораємого водню
складає близько 6 ·1011
кг.
----------------------------------------------------------------------------------------------------------
52.
Планета Марс при найбільшому
наближенні до Землі має кутовий діаметр
25''. Який буде діаметр її фотографічного
зображення отриманого за допомогою
рефрактора, у якого фокусна відстань F
=19.5 м?
Розв’язок
Кут
180×3600'' відповідає 3,141592 радіан, звідси
1'' еквівалентна 4,848·10-6рад
(1/206265) і отже
.----------------------------------------------------------------------------------------------------------
53.
Якщо окуляр, при використанні з
об’єктивом з фокусною відстанню F=1м
дає збільшення в 50 разів, то яке збільшення
він дасть при використанні з об’єктивом
з фокусною відстанню 5 м?
Розв’язок:
З
виразу для підсилення
----------------------------------------------------------------------------------------------------------
----------------------------------------------------------------------------------------------------------
54.
Глибина головного мінімуму подвійної
системи рівний 5,5m, а глибина
вторинного мінімуму дорівнює 3.0m.
Оцініть відношення світимостей подвійної
системи при частковому та повному
затемненні.
Розв’язок
Світимість
зорі може бути оцінена за формулою
, де F - реєструєма
густина потоку випромінювання, тоді
при великих значеннях r відношення
світимостей подвійної системи при
частковому та повному затемненнях буде
приблизно рівним відношенню потоків.
Таким чином
----------------------------------------------------------------------------------------------------------
55.
Густина нейтронної зорі ρ = 1017
кг/м3. Обчисліть мінімальний
період для супутника на круговій орбіті
навколо зорі.
Розв’язок
Мінімальний
період, це коли супутник обертається
фактично на нульовій висоті над поверхнею.
56.
Два малих тіла Сонячної системи
віддаляються від Сонця в афелії в r1
= 2 та r2 =
11 разів більше ніж у перигелії. У
скільки разів відрізняються їх орбітальні
періоди, якщо їх перигелійні відстані
однакові.
Розв’язок:
Великі
піввісі малих тіл можна знайти по формулі
, де r0
- відстань до Сонця в перигелії, r-
відстань до Сонця в афелії. Згідно закону
Кеплера:
57.
Зоря спектрального
класу K головної послідовності має
світимість 0.4L . Потік випромінювання
від зорі рівний 6.23·10-14 Вт м-2.
Чому дорівнює відстань до цієї зорі? Ви
можете знехтувати впливом атмосфери.
Розв’язок
Потік
випромінювання
де L- світимість зорі,
d-
відстань до зорі.
Отже,
58.
В спектрі далекої галактики
спостерігається подвійна лінія водню
Нα , одна з
компонент формується в самій галактиці,
інша в міжгалактичній хмарі. В скільки
разів міжгалактична хмара ближче до
спостерігача, якщо відомо, що зсув від
лабораторного положення лінії Δλ для
компонент відрізняється в 1,41
рази.
Розв’язок.
Зсув
ліній обумовлений ефектом Доплера
.
Згідно закону Хабла .
Отже відношення відстаней складе:
,
де індекс 1 для «галактичної» лінії, 2 –
для лінії, яка формується в хмарі.
59.
Як змінилося б число днів у році, якщо
б Земля оберталася навколо власної вісі
з тим же періодом, але в протилежному
напрямку?
Розв’язок.
Зараз
Земля обертається, так що сонячна доба
довша за зоряну на час, що потребує
поворот Землі на 10.
Якщо Земля оберталася б в протилежному
напрямку, сонячна доба була б на цей же
час коротша за зоряну. Зараз число
сонячних діб на 1 менше за число зоряних
(10·365.25 діб
≈
3600 – 1 оберт),
число яких постійне і дорівнює 366,25,
а в нашому гіпотетичному випадку було
б на 1 більше, тобто 367,25.
----------------------------------------------------------------------------------------------------------
60.
В скільки разів зменшиться діаметр
Сонця, якщо воно стиснеться в чорну
діру.
Розв’язок
Варіант
1. Розміри чорної діри можна оцінити
по формулі радіуса Шварцшильда: .
Отже відношення радіусів складає
240000≈SrR. .
Варіант
2. Зорю можна вважати чорною дірою,
якщо її радіус зменшився до такого, щоб
друга космічна швидкість стала менша
за швидкість світла.
----------------------------------------------------------------------------------------------------------
61.
Спалах наднової освітив першу
газопилову оболонку, а через 7 років
другу. Оболонки спостерігаються на
відстані 8". Оцініть відстань до
наднової.
Розв’язок
Оскільки
ми знаємо відстань між оболонками d
= 7світлових роки, то
відстань до оболонок можна оцінити
згідно формули: ,
де α - кутова відстань між оболонками в
радіанах. Отже,
.
62.
Скільки зір нульової величини можуть
замінити світло усіх зір з середньою
величиною 10.5, якщо їх кількість складає
546 тис?
Розв’язок
З
виразу отримаємо
Аналогічно
і .
63.
Чому рівна фокусна відстань
об’єктива, який дає зображення Місяця
діаметром в 15 мм?
Розв’язок
Фокусна
відстань .
64.
Чому дорівнює час між двома
послідовними однойменними кульмінаціями
Місяця?
Розв’язок
Кут,
на який треба обернутися Землі, щоб
Місяць повернувся до того ж меридіану,
буде на 13,2° більше ніж
180° (13,2° - добове переміщення
Місяця на небесній сфері). Земля
повернеться на цей кут за 13.2°·24 год
/180°=0,88 год ≈ 53 хв. Отже,
час між двома послідовними однойменними
кульмінаціями Місяця дорівнює 24 год
53 хв.
----------------------------------------------------------------------------------------------------------
65.
Знайти абсолютну візуальну зоряну
величину η Фенікса, якщо її візуальна
зоряна величина mV=2,23, а річний
паралакс π''=0'',039.
Розв’язок
З
формул та
(π в пк) отримаємо: .
Підставляємо
і отримуємо
----------------------------------------------------------------------------------------------------------
66.
Тіло запущене із далекого супутника
Юпітера проти напрямку орбітального
руху планети зі швидкістю рівною
орбітальній швидкості Юпітера. Оцініть
через який час воно досягне Сонця?
Розв’язок
Юпітер
знаходиться на відстані Наближено
можна вважати, що тіло падає по
сильно-витягнутому еліпсу, з великою
піввіссю За третім
законом Кеплера ,
де двійка в знаменнику означає, що
рухаємось лише до Сонця.
----------------------------------------------------------------------------------------------------------
67.
Подвійна система складається з двох
зір однакових розмірів, але їх температура
в два рази відрізняється. Як сильно може
змінитись видима зоряна величина
подвійної, якщо відомо, що нахил орбіти
складає 0°.
Розв’язок
Оскільки
розміри зірок однакові, то світимість
буде визначатись температурою:
, різниця
зоряних величин буде складати:
----------------------------------------------------------------------------------------------------------
68.
В цьому році найкращі умови видимості
Юпітера приходяться на жовтень та
листопад. В які місяці буде найкраща
видимість Юпітера в наступному році.
Велика піввісь Юпітера 5.2 а.о.
Розв’язок
Період
обертання Юпітера навколо Сонця .
Синодичний період обертання ,
S =
1,092 роки ≈ 399 діб.
Тому
в наступному році видимість Юпітера
буде оптимальною на 34 пізніше, тобто в
листопаді та грудні.
----------------------------------------------------------------------------------------------------------
69.
Білий ведмідь мешкає на північному
полюсі, і скориставшись годинником
полярників виміряв тривалість дня та
ночі. Що триває довше на полюсі, день чи
ніч? Відповідь аргументуйте.
Розв’язок
Оскільки
орбіта Землі еліптична, і перигелій
Земля проходить у січні з максимальною
орбітальною швидкістю, то ніч,
яка припадає в північній півкулі
на зиму, коротша. Врахування
рефракції призводить до скорочення
ночі.
----------------------------------------------------------------------------------------------------------
70.
В майбутньому мешканці величезного
атмосферного цепеліна Венери виміряли
добовий паралакс Землі, і він склав 25".
Під яким кутом видно пару Земля - Місяць
аеронавтам Венери. Радіус Венери прийняти
6050 км, радіус орбіти Венери 108 млн. км,
радіус орбіти Місяця 384 тис. км.
Розв’язок
Добовий
параллакс ,
кут під яким видно пару Земля-Місяць
. Тому кут під
яким видно пару Земля-Місяць .
----------------------------------------------------------------------------------------------------------
71.
Місяць в деякий день знаходився у
верхній кульмінації опівдні, коли він
буде кульмінувати наступного дня?
Розв’язок
Сидеричний
період обертання Місяця навколо Землі
складає 27,3 доби. Отже,
час який Місяць проходить за добу
складає .
Проходження кульмінації буде
пізніше на 53 хвилини.
----------------------------------------------------------------------------------------------------------
72.
Перший міжзоряний корабель
досягнув околиць системи α Центаври
(α=14h39m35s,
δ=-60°50', π=0.75"). Які екваторіальні
координати і видима зоряна величина
Сонця будуть для спостерігачів з корабля?
Абсолютна зоряна величина Сонця М=4,8.
Розв’язок
Схилення
Сонця буде за модулем таке ж, як і α
Центаври, тільки з протилежним знаком.
Пряме піднесення буде зсунуте на 12 h,
тобто α=2h 39m 35s,
δ=60° 50' .
Видима
зоряна величина
73.
Яка ширина місячного термінатора.
Радіус Місяця складає 1740 км.
Розв’язок
Оскільки
вказано радіус Місяця, то він вважається
кулею, термінатор має ширину внаслідок
кінцевого розміру диска Сонця, і ширина
термінатора буде відповідати куту на
поверхні рівному кутовому діаметру
Сонця. .
Врахування
реального рельєфу (шершавості поверхні)
дещо збільшує цю оцінку.
74.
Затемнювано-подвійна система
складається з двох однакових зірок. На
скільки змінюється видима зоряна
величина цієї системи? Вважати, що
промінь зору розташований в площині
орбіти системи.
Розв’язок
Згідно
формули Погсона ,
нехай -
освітленість від пари зірок,
Е1
- освітленість від однієї зорі, тоді
.
75.
Телескоп астронома-аматора має
діаметр 30 см та фокусну відстань 300 см.
Який масштаб у фокусній площині такого
телескопа?
Розв’язок
Розмір
об’єкта в 1 градус складатиме
на 10,
або 0,87
мм на
1’, або 0,015
мм на 1 ′′, або 1,15‘
≈ 69” на 1 мм.
76.
Космологічне червоне зміщення
ядра галактики z=0.02. З якою швидкістю
галактика рухається відносно спостерігача
і на якій відстані вона розташована?
Розв’язок
Для
невеликих значень червоного зміщення
справедливо
v
= zc
= 6000 км/с (придатне
використання і релятивіської формули)
відстань .
77.
Комета має афелій поблизу орбіти
Нептуна. Який мінімальний період
обертання може бути у такої комети?
Радіус орбіти Нептуна складає 30,1
а.о.
Розв’язок
Мінімальний
період буде мати комета, що рухається
по сильно-витягнутій орбіті, з перигелієм
поблизу Сонця.
Отже,
період складатиме
Що
не дуже відрізняється від реальних
комет, так у комети Галлея період
обертання 75 років.
78.
Колова орбіта сферичного штучного
супутник Землі (ШСЗ) лежить у
площині екватора. Радіус супутника
R = 1 м, його середня відстань від
планети h=2000 км, альбедо (коефіцієнт
відбивання світла від поверхні) α =0,8.
Видима зоряна величина Сонця ms=-26,74m .
Чи можна побачити цей ШСЗ
неозброєним оком?
Розв'язок
Загальний
світловий потік, відбитий від супутника
(світність супутника) Lсуп.
= pR2Fsα,
де Fs
- потік від Сонця на
відстані орбіти Землі. Оскільки h
<< 150 млн.км, то можемо знехтувати його
зміною внаслідок руху супутника по
орбіті навколо Землі.
На
поверхні планети світловий потік від
супутника
Отже,
освітленість Сонцем поверхні Землі на
екваторі (вдень), більша за освітленість,
створену супутником (уночі) у
разів.
Далі з
формули Погсона маємо: mсуп.
= ms
+2,5lg =-26,74m
+2,5·log(1013)=5,76m.
Отже,
блиск супутника буде на межі чутливості
неозброєного ока.
79. На картах
зоряного неба нанесено положення Місяця
на фоні зір станом на 23 год. 10 хв. Київського
часу 9 лютого 2012 р. Та 0 год. 45 хв. Київського
часу 11 лютого 2012 року. Користуючись
приведеними картами з нанесеною сіткою
екваторіальних координат та лінійкою
знайти:
1) кутову швидкість зміщення
Місяця відносно зір (в градусах за
добу),
2) нахил орбіти Місяця (Місячного
шляху на фоні зір) до площини небесного
екватора,
3) середню лінійну швидкість руху
Місяця на орбіті (в км/год.),
якщо відстань до нього у ці дні
становила 369 415.92 км,
4)
екваторіальні координати Місяця на ці
два моменти часу.
Примітка:
на карті нанесена сітка небесних
координат в 2-й екваторіальнійсистемі;
небесні меридіани (годинні круги)
нанесені з інтервалом 2 дугові години
(1 година дуги = 15 градусів дуги), а добові
паралелі з інтервалом 20 градусів.
Роз’язок
1).
Кутова швидкість Місяця відносно зір
розраховується за лінійним зміщенням
на карті (s=2.25 см), масштабом
карти (k=30 град./4.5 см =
6.6(6) град./см) та інтервалом часу в добах
(t=1 дб + (1 год. 35 хв./ 24 год.)=
1.66 дб): ω= ks/t=14.07
град./дб
2).
Нахил орбіти Місяця (Місячного шляху
на фоні зір) до площини екватора
визначається за арксинусом кута:
arcsin(δ/φ)=22.2
град., де δ — зміщення
Місяця по годинному кругу, φ=ks
— кутове зміщення Місяця на фоні зір.
3).
Лінійна швидкість - це кутова швидкість
(рад./год) помножена на відстань:
v=ωR=3780 км/год.
4).
Координати Місяця 9 лютого 2012 р. о 23 год.
10 хв. Київського часу: він
перебуває в площині небесного
екватора, тому його схилення δ=0; пряме
сходження розраховується по відстані
від точки осіннього рівнодення:
α=12h -ksα/15o=11h 04m . Координати Місяця
11 лютого 2012 р. о 0 год. 45 хв.
Київського
часу: його пряме сходження α=12h , схилення
δ=-ksδ/15o=-5o40'.
80. Видимі
кутові розміри Крабовидної туманності
420'' x 290'' (див. фотографію),
а відстань до неї 2 кпк. Знайти лінійні
розміри Крабовидної туманності.
Розв’язок
1пк=3.2616св.року.
Отже, відстань до Крабовидної
туманності: D=2 кпк
= 6,5тис.св.р.
Розглядаючи
прямокутний трикутник (див. рисунок), у
якому катети — відстань D,
та половина відповідного поперечного
розміру d, ВМХ, а кут між
D і гіпотенузою дорівнює
половині відповідного кутового розміру,
отримаємо наступні розміри ВМХ:
d1
= 2D·tg
[(420''/3600)o/2] = 13.23 св.р.,
d2
= 2D·tg
[(290''/3600)o/2] = 9.14 св.р.
Отже, лінійні розміри
Крабовидної туманності:
13,23 св.р. x
9.14 с.в.
81. Період
пульсара в Крабоподібній туманності
становить 0,0334 секунди. У яких межах і з
якою періодичністю буде змінюватися
значення цього періоду, виміряне на
Землі? Коли воно буде досягати максимуму
і мінімуму?
Розв’язок
Крабоподібна туманність
знаходиться поблизу екліптики. На
спостережуваний період буде впливати
рух Землі навколо Сонця. Зміна періоду
(v
- складова швидкості Землі у напрямку
від туманності, c - швидкість світла).
Максимальний період буде під час
віддалення Землі від Крабоподібної
туманності (березень), мінімальний - під
час наближення (вересень). Проте, амплітуда
річних коливань буде всього дорівнювати
10-4
від величини періоду, тобто 3·10-6
секунди.
82. Поїзд
рухається зі швидкістю 60 км / год на
захід уздовж паралелі 60o
с. ш. Яку тривалість світлого часу доби
зафіксує пасажир цього потяга 21 марта?
Рефракцією знехтувати.
Розв’язок
Швидкість руху Землі
навколо своєї осі дорівнює .
Рух поїзда на захід фактично уповільнює
цю швидкість до 834
- 60
= 774 .
Протяжність дня для нерухомого
спостерігача 21 березня дорівнює 12 год
(якщо знехтувати рефракцією), а для
пасажира вона зросте обернено пропорційно
падінню швидкості обертання Землі і
стане рівною 12,93год = 12год 56хв.
83. Блиск
Венери під час верхнього з'єднання
дорівнює -3,9 m,
а під час найбільшої елонгації -4,4 m.
Чому дорівнює блиск Венери в цих
конфігураціях при спостереженні з
Марса? Відстань Венери від Сонця дорівнює
0,72 а. о., а Марса від Сонця 1,52 а. о.
Розв’язок
Відстань
від Марса до Венери під час верхнього
з'єднання дорівнює 1,52 а.о. + 0,72 а.о. = 2,24
а.о., а під час найбільшої елонгації
(1,52 а.о.) 2
- (0,7 а.о.) 2
- 1.34 а.о. Враховуючи це отримуємо блиск
Венери в цих конфігураціях (-3,3 m
і -3,0 m)
84.
Блиск Юпітера в протистоянні становить
-2,8 m,
а блиск Урана в протистоянні +5,7 m.
Порівняти альбедо Юпітера і Урана.
Відстань Юпітера від Сонця 5,2 а.о., Урана
- 19,2 а.о., радіуси планет відповідно 71,4
і 25,4 тис. км.
Розвязок
Яскравість планети в
протистоянні пропорційна ,
де
h -
альбедо, R
- радіус планети, а a
- радіус орбіти в астрономічних одиницях.
Після обчислень отримуємо, що альбедо
Юпітера лише на 20% перевершує альбедо
Урана.
====================================================================
Задачі взяті з різних інтернет джерел, які знаходяться у відкритому доступі.
Якщо при цьому порушено чиїсь авторські права, прошу повідомити, контент буде видалено.
======================================================================
====================================================================
Задачі взяті з різних інтернет джерел, які знаходяться у відкритому доступі.
Якщо при цьому порушено чиїсь авторські права, прошу повідомити, контент буде видалено.
======================================================================

















Немає коментарів:
Дописати коментар